|
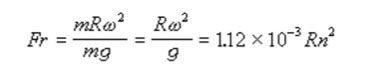
全封閉離心機轉鼓內的懸浮液或乳濁液在離心力場中所受的離心力與其重力的比值,即離心加速度與重力加速度的比值,叫做全封閉離心機分離因素。 分離因數以Fr表示:

式中全封閉離心機分離因素 R:為被分離物料在轉鼓內位置的半徑(米); ω:為轉鼓的旋轉角速度(弧度/秒); g:為重力加速度(9.81米/秒2); n:為轉鼓轉速(轉/分); m:為轉鼓內物料的質量(千克)。 天賜機械 HR-630N雙極推料全封閉離心機 全封閉離心機分離因素 (1)分離因素是衡量全封閉離心機分離能力的主要指標。分離因素越大,物料所受的離心力就大,分離效果就好,對于小顆粒液相黏度大的難分離懸浮液,需要采用分離因素大的全封閉離心機加以分離,目前,工業全封閉離心機分離因素值從數百到上萬,如:HR-630N雙極推料全封閉離心機的分離因素為350-1142;HY-800NA臥式推料全封閉離心機的分離因素為220-363;SS450-NA三足式上部卸料全封閉離心機的分離因素為1600等等 (2)分離因素與全封閉離心機的轉鼓半徑r成正比,與轉鼓轉速n的平方也成正比,因此分離過程中物料在全封閉離心機轉鼓內處于不同半徑的位置時,分離因素值也不同。采用提高轉速比加大轉鼓直徑更易于提高分離因素,因此高分離因數的離心分離機均采用高轉速和較小的轉鼓直徑,此時轉鼓的應力較小。
|